Need Help?
800-229-7252
Standards
-
2-Chloro-4-ethylamino-15N-6-isopropylamino-1,3,5-triazine98 atom % 15N, 98% (CP)491373SIG491373-100MG-EA -
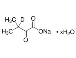
2-Keto-3-(methyl-13C,d2)-butyric acid-4-13C,d2 sodium salt98 atom % 13C, 98 atom % D634379SIG634379-250MG-EA -
2-Keto-3-(methyl-d3)-butyric acid-4-13C,3-d sodium salt97 atom % D, 99 atom % 13C, 97% (CP)691887SIG691887-500MG-EA -
-
-
-
-
-
25-Hydroxyvitamin D2 (6,19,19-d3) solution5 mug/mL in ethanol, 97 atom % D, 98% (CP)740209SIG740209-1ML-EA -
-
-
25-Hydroxyvitamin D3 (6,19,19-d3) solution5 mug/mL in ethanol, 97 atom % D, 98% (CP)739626SIG739626-1ML-EA -
-
-
-
-
-
3,6-Dichloro-2-hydroxybenzoic acid-(phenyl-13C6)99 atom % 13C, 98% (CP) 10MG705810SIG705810-10MG-EA -
-
-
-
-
-
-
-
-
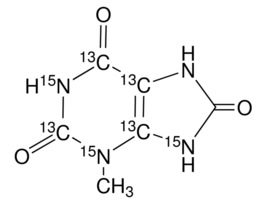
3-Methyluric acid-2,4,5,6-13C4, 1,3,9-15N398 atom % 15N, 99 atom % 13C, 98% (CP) 2MG705616SIG705616-2MG-EA -
3-Methyluric acid-2,4,5,6-13C4, 1,3,9-15N398 atom % 15N, 99 atom % 13C, 98% (CP) 5MG705616SIG705616-5MG-EA















































