Need Help?
800-229-7252
Material Science
-
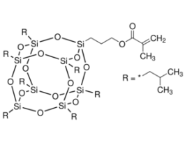
1,3,5,7,9,11,14-Heptaisobutyltricyclo[7.3.3.15,11]heptasiloxane-endo-3,7,14-triol97%534463SIG534463-10G-EA -
-
-
-



















